ESTOY
APRENDIENDO
Vea los siguientes videos para reforzar lo aprendido.
Después de ver el video, haga el siguiente ejercicio:
1. Determine la distancia entre cada par ordenado de los puntos dados utilizando la fórmula de distancia.
1.1 A(1,2) y B(-3,4)
1.2 C(-3,0) y D(-4,6)
1.3 A(1, 2) y B(4, 3)
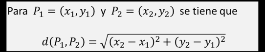
Dadas las coordenadas de dos puntos, P1 y P2, se deduce la fórmula de distancia entre estos dos puntos. La demostración usa el teorema de Pitágoras. Un ejemplo muestra cómo usar la fórmula para determinar la distancia entre dos puntos dadas sus coordenadas La distancia entre dos puntos P1 y P2 del plano la denotaremos por d(P1,P2 ). La fórmula de la distancia usa las coordenadas de los puntos.
"Dime y lo olvido, enséñame y lo recuerdo, involúcrame y lo aprendo".
- BENJAMIN FRANKLIN
"Con mis maestros he aprendido mucho; con mis colegas, más; con mis alumnos todavía más.."
- PROVERBIO HINDÚ
"Aprender es como remar contra corriente: en cuanto se deja, se retrocede"
- EDWARD BENJAMIN BRITTEN
JOSE FERNANDEZ
P.O. Box 360839
San Juan, 00936-0839
Puerto Rico
Copyright Rotary e-Club de Puerto Rico y Las América.
All Rights Reserved.
Aprovecha el poder de la educación en línea en formas nuevas e innovadoras con las clases con un instructor. Toma el control de tu experiencia en el aula.ESTOY-APRENDIENDOte ofrece un trampolín para que alcances el futuro como te lo imaginas.